| 일 | 월 | 화 | 수 | 목 | 금 | 토 |
|---|---|---|---|---|---|---|
| 1 | 2 | 3 | 4 | |||
| 5 | 6 | 7 | 8 | 9 | 10 | 11 |
| 12 | 13 | 14 | 15 | 16 | 17 | 18 |
| 19 | 20 | 21 | 22 | 23 | 24 | 25 |
| 26 | 27 | 28 | 29 | 30 |
- HA
- CUDA
- 반도체기초
- Compression
- nvidia
- SpMM
- GPU
- C++
- Semiconductor
- 쿠버네티스
- deep_learning
- dnn
- 클라우드
- CuDNN
- POD
- DRAM
- flash_memory
- Qubit
- stl
- kubernetes
- quantum_computing
- FPGA
- cloud
- 양자역학의공준
- convolution
- jhVM
- sycl
- 반도체
- 딥러닝
- jhDNN
- Today
- Total
Computing
[물리기초] 전하와 전류, 전기장과 전압의 관계 본문
전하 Charge
전하(electric charge)는 전기장 내에서 전기현상을 일으키는 주체적인 원인[1]이다. 물체가 가진 전하의 양을 전하량이라고 한다. 전하의 단위는 C(쿨롬) 혹은 A⋅s로, 1C = 1A⋅s는 1A 전류가 1초동안 이동했을 때 움직인 총 전하의 "양"이다.
전하를 가진 물체는 다른 전하를 가진 물체에 의해 전기력을 받는다. 두 점전하 q1, q2가 있고, 두 점전하가 거리 r만큼 떨어져 있을 때, 두 점전하 사이에 작용하는 전기력의 크기는 쿨롱의 법칙을 따른다. (각 점전하는 q1, q2만큼 전하량을 가지고 있다.)

전자 하나가 가지는 전하량 e = 1.60217 * 10^(-19)이다.
전류 Current와 전류 밀도 Current Density
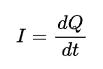
전류 I는 전하의 흐름으로, 단위 시간 동안 흐른 전하의 양[2]으로 정의된다. 전류와 전하량의 Eq 2 단위는 A(암페어)로 1초 당 1 쿨롬의 전하가 흐르는 것을 의미한다. 전류를 I, 총 흐른 전하량을 Q, 시간을 t라고 한다면 Eq 2.와 같은 관계식을 얻을 수 있다.

전류 밀도 J는 단위 면적 당 흐르는 전류를 의미한다. SI 단위로는 A/(m^2)이다.
전기장 Electric Field
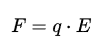
전기장 E는 단위 전하가 다른 전하에 의해 받는 전기력[3]을 의미한다. 전하를 띈 물체 p는 다른 전하 q를 띈 물체에게 전기력 F을 행사한다. 이때 전하를 띈 물체 p에 의한 전기력 F와 전기장 E의 관계는 다음 Eq 3.와 같다.

(고전 역학에서 일반 물체에 작용하는 중력에 의해 작용하는 힘은 질량 곱하기 중력 가속도이다. 즉 F = mg이다.)
전위 Electric Potential과 전압 Voltage
전압 V는 전기장 내에서 단위 전하가 가지는 전기적 위치 에너지를 의미[4]한다. 단위는 V 볼트이다. 전위는 절대적인 값이 아닌 상대적인 값으로, 전위의 기준 지점에 따라 그 값이 변한다. 반면 두 지점의 전위차는 절대적인 값이다.
전위차는 전압이라고도 하며 전기장 안에서 두 지점에서 단위 전하가 갖는 전위의 차이이다. 전기가 흐르는 원인이다. 점전하 Q가 일정한 전기력 E에 의해 S만큼 이동할 경우, 전위 U의 변화량과 전압 V는 다음 Eq 4.와 같다.

어떤 물체에 해준 일은 물체의 에너지 변화량과 같다. 즉 힘 F로 S만큼 점전하 Q를 움직였을 때 해준 일의 양이 점전하 Q의 전위 변화량이다. 방향과 크기가 일정한 전기장 E가 단위전하에 해준 일의 양은 V와 같으며 두 관계는 다음과 같다. s는 전기장에 의한 점전하의 이동거리이다.

외우는 방법
(개인적으로=야매로 외우는 방법이다. 물리전공자가 아니라 매우 부정확한 방법일 것이다.)
물체는 질량이 있음 -> 물체는 전하량이 있음
질량이 있는 물체 끼리는 중력에 의해 잡아 당겨짐 -> 전하량이 있는 물체 끼리는 전기력에 의해 잡아 당겨짐
단위 질량당 받는 중력을 중력장 -> 단위 전하당 받는 전기력을 전기장
전류는 단위 시간 당 이동한 전하의 양
전류 밀도는 단위 면적당 전류 = 단위 면적, 단위 시간 당 총 이동한 전하의 양
질량을 가진 물체는 중력에 의한 위치 에너지를 가짐 -> 전하량을 가진 물체는 전기력에 의한 위치 에너지를 가짐
중력에 의한 위치 에너지 / 질량 = 중력 퍼텐셜 -> 전기력에 의한 위치 에너지 / 전하량 = 전위 = 단위 전하당 전기 위치 에너지
위치 에너지는 전하량/기준점에 따라 달라짐 -> 변하지 않는 기준이 필요 -> 단위 전하당 전위차 = 전압
Reference
[1] https://ko.wikipedia.org/wiki/%EC%A0%84%ED%95%98
[2] https://ko.wikipedia.org/wiki/%EC%A0%84%EB%A5%98
[3] https://ko.wikipedia.org/wiki/%EC%A0%84%EA%B8%B0%EC%9E%A5
'Semiconductor > 전기전자회로' 카테고리의 다른 글
| 회로 기초 (2) Kirchhoff's laws 키르히호프의 법칙 (0) | 2022.05.08 |
|---|---|
| 회로 기초 (1) 전류 & 전압 & 전력 (0) | 2022.05.07 |