| 일 | 월 | 화 | 수 | 목 | 금 | 토 |
|---|---|---|---|---|---|---|
| 1 | 2 | 3 | ||||
| 4 | 5 | 6 | 7 | 8 | 9 | 10 |
| 11 | 12 | 13 | 14 | 15 | 16 | 17 |
| 18 | 19 | 20 | 21 | 22 | 23 | 24 |
| 25 | 26 | 27 | 28 | 29 | 30 | 31 |
- jhDNN
- CUDA
- flash_memory
- nvidia
- quantum_computing
- C++
- DRAM
- sycl
- 반도체
- deep_learning
- CuDNN
- 클라우드
- Compression
- convolution
- POD
- kubernetes
- SpMM
- 반도체기초
- jhVM
- HA
- GPU
- FPGA
- Semiconductor
- 쿠버네티스
- dnn
- cloud
- 딥러닝
- stl
- 양자역학의공준
- Qubit
- Today
- Total
Computing
반도체 기초 (2) 실리콘 재료와 에너지 밴드 & 전자의 분포 (Fermi Function) 본문
이 자료는 KMOOC 신창환 교수님의 강의 [반도 채 몰라도 들을 수 있는 반도체 소자 이야기]를 바탕으로 정리되었습니다.
이전글
2022.05.15 - [Semiconductor/개념] - 반도체 기초 (1) 실리콘 원소와 Charge Carrier
실리콘 원자에서 실리콘 재료로 : Energy Band의 생성
반도체칩의 대부분을 차지하는 주요 재료는 실리콘이다. 실리콘 원자 여러 개가 공유 결합하여 만들어지는 실리콘 재료는 그것을 구성하는 실리콘 원자들이 crystal 결정 구조를 형성하고 있다.
원자에 귀속된 전자는 특정 에너지 준위를 가진 궤도함수, 즉 오비탈을 따라 확률적으로 분포하고 있다. 실리콘 원자 또한 마찬가지이며, 실리콘 원자의 최외각 4개의 전자는 3p, 3s 오비탈에 위치해 있다. 하지만 실리콘 원자들이 점점 가까워지면서 crystal 결정 구조를 이루게 된다면, 전자가 위치할 수 있는 새로운 에너지 준위가 생기게 된다. Fig 1. 은 이를 잘 나타내는 그림이다.

Fig 1. 의 X축은 실리콘 원자들 사이의 거리, Y축은 에너지를 나타내며, 빨간색 영역은 실리콘 원자에 귀속된 전자가 위치할 수 있는 에너지 준위를 나타낸다. X축을 따라 오른쪽에서 왼쪽으로 갈수록 실리콘 원자들 사이의 거리가 가까워지고, 어느 순간 실리콘 원자들은 공유결합을 하여 crystal 구조를 형성한다.
실리콘 원자 사이의 거리가 멀 경우, 실리콘 원자의 전자는 E1(3p 오비탈), E2(3s 오비탈) 에너지 레벨에만 위치할 수 있다. 그러나 실리콘 원자 사이의 거리가 가까워질수록 전자가 위치할 수 있는 새로운 에너지 레벨이 생기게 되어 점점 band(띠)와 같은 영역이 형성되게 된다. Fig 1. 에서는 빨간색 띠(2차원 영역)가 생기는 것과 같이 묘사되었지만, 실제로는 무수히 많은 에너지 레벨(1차원 선)이 생겨서 그것들이 띠와 같은 2차원 영역처럼 보이게 된다. 이를 에너지 밴드라고 하며, 빨간색 영역 안에 포함된 에너지 준위에 전자들이 위치해 있을 수 있다.
실리콘 원자 사이가 2.35A 위치일 경우의 에너지 밴드 다이어그램을 보면, 두개의 분리된 에너지 밴드가 형성된 것을 알 수 있다. 더 높은 에너지에 포함된 에너지 밴드를 conduction band, 낮은 에너지 밴드를 valence band라고 한다. 실리콘 원자의 전자는 두 밴드에만 위치할 수 있고, 둘 사이의 빈 영역에는 위치할 수 없다. Conduction band의 가장 낮은 에너지 레벨을 Ec, valence band의 가장 높은 에너지 레벨을 Ev라고 하며, 둘 사이의 차를 energy gap, Eg라고 한다.
Energy Band에 따른 물질의 구분
물질 내 전류가 흐르기 위해서는 conduction band와 valence band에 전하를 이동시킬 수 있는 charge carriers, 즉 conduction electrons (자유 전자) 과 holes (정공)이 있어야 한다. 안정적인 상태의 실리콘 원자의 전자는 valence band에 위치해 있는데(0K에서 전자는 낮은 에너지 준위부터 채우게 된다.), 이것이 에너지를 받으면 conduction band로 올라가 conduction electron이 된다. 전자가 빈 valence band에는 hole이 생기게 된다. 이렇게 생긴 두 charge carriers에 의해 전하가 전달되며 전류가 흐르게 된다.
따라서 energy band 및 energy gap은 물질의 전기적 성질을 결정 짓는데 중요한 역할을 한다. Conduction band와 valence band 사이의 energy gap이 작을수록 최외각 전자가 쉽게 condcution band로 이동할 수 있다. 마찬가지로 energy gap이 클수록 최외각 전자가 자유전가가 되기에는 많은 에너지가 필요하다.

따라서 Energy bands 및 둘 사이의 energy gap에 따라 도체, 부도체, 반도체를 구분할 수 있다. Fig 2. 도체, 반도체, 부도체의 energy gap을 잘 보여준다. 도체(metal)의 경우 valence band와 conduction band가 서로 overlap되어 있어서 band gap이 존재하지 않는다. 따라서 도체를 구성하는 원자의 전자는 쉽게 자유 전자가 되어 전류를 흐를 수 있게 한다. 부도체(insulator)의 경우 valence band와 conduction band 사이의 energy gap이 큰 것을 볼 수 있다. 따라서 최외각 전자가 쉽게 자유 전자가 되지 못하여 전류가 잘 흐르지 않는다. 반도체(semiconductor)는 energy gap이 어느정도 작은 것을 볼 수 있다. 따라서 열을 가하는 등의 에너지를 공급하면 최외각 전자가 자유 전자가 되어 전류를 흐를 수 있게 한다.
Energy Band 속 전자와 정공의 분포 : Density of States & Fermi Function
그렇다면 energy band 속 전자와 정공은 어떻게 위치할까? 이를 위해서 energy band에 포함된 energy state(=level, 준위)들의 분포와 그 에너지 상태에 전자가 있을 확률을 알아야 한다.

Fig 3. (a)은 에너지 밴드 다이어그램을 나타낸 것이다. Ec, Ef, Ev가 표시 되어 있는데, Ec는 conduction band의 최저 energy level, Ev는 valence band의 최고 energy level을 나타낸다. Ef는 fermi energy level이다. (추후 설명)
Fig 3. (b)는 density of states를 나타낸 그림이다. 전자(정공)가 위치할 수 있는 에너지 레벨(=level=state)의 분포를 나타낸 것으로, band 사이에는 0(=에너지 레벨이 없음)임을 알 수 있다. Conduction band에서는 에너지가 커질수록 더 많은 에너지 레벨이 존재하며, valence band에서는 에너지가 작을수록 더 많은 에너지 레벨이 존재한다.
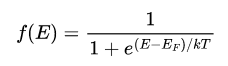
Fig 3. (c)는 전자(정공)이 각 에너지 레벨에 있을 확률을 나타내는 fermi function을 나타낸 것이다. Fermi function f(E)는 에너지 레벨 E가 전자로 채워질 확률을 나타낸 것으로, 낮은 에너지 레벨로 갈수록 확률이 1로 수렴, 높은 에너지 레벨로 갈수록 확률이 0으로 수렴한다. 즉 에너지가 낮은 에너지 레벨이 채워질 확률이 더 높다는 것을 알 수 있다. 정공의 경우는 1-f(E)로 구할 수 있을 것이다. (전자가 채워지지 않았을 확률 1-f(E) = 정공이 있을 확률)

Eq 1. 은 Fermi function를 나타낸다. 이때 Ef, fermi energy level이라는 개념이 등장하는데, fermi level은 전자가 있을 확륭이 50%가 되는 에너지 레벨을 지칭한다. 순수한 실리콘 재료에서는 conduction band와 valence band의 중앙에 위치한다. E가 Ef에 비해 매우 클 경우 f(E)는 0에 수렴하며, E가 Ef에 비해 매우 작을 경우 f(E)는 1에 수렴한다.
Fig 4. (d)는 최종적으로 자유 전자(정공)의 분포를 나타낸 것이다. 자유 전자의 분포는 conduction band 내의 에너지 레벨의 분포와 해당 에너지 레벨에 자유 전자가 있을 확률 곱하여 적분하면 얻을 수 있다. 마찬가지로 정공의 분포는 valence band 내의 에너지 레벨의 분포와 해당 에너지 레벨에 정공이 있을 확률을 곱하여 적분하면 얻을 수 있다.
Reference
[1] http://www.optique-ingenieur.org/en/courses/OPI_ang_M05_C02/co/Contenu.html
'Semiconductor > 반도체개념' 카테고리의 다른 글
| 반도체 기초 (5) Carriers의 특징 - 유효 질량, Scattering, Mobility (0) | 2022.06.07 |
|---|---|
| 반도체 기초 (4) Charge Carriers와 Fermi Energy의 관계 (0) | 2022.05.27 |
| 반도체 기초 (3) Extrinsic Semiconductor (도핑, P형 반도체, N형 반도체) (0) | 2022.05.19 |
| 반도체 기초 (1) 실리콘 원소와 Charge Carrier (0) | 2022.05.15 |
| 반도체란? (0) | 2022.03.10 |