| 일 | 월 | 화 | 수 | 목 | 금 | 토 |
|---|---|---|---|---|---|---|
| 1 | 2 | 3 | ||||
| 4 | 5 | 6 | 7 | 8 | 9 | 10 |
| 11 | 12 | 13 | 14 | 15 | 16 | 17 |
| 18 | 19 | 20 | 21 | 22 | 23 | 24 |
| 25 | 26 | 27 | 28 | 29 | 30 | 31 |
- 쿠버네티스
- FPGA
- convolution
- quantum_computing
- 반도체
- CUDA
- jhVM
- flash_memory
- dnn
- POD
- CuDNN
- jhDNN
- 반도체기초
- deep_learning
- nvidia
- 양자역학의공준
- HA
- Qubit
- sycl
- GPU
- Semiconductor
- C++
- SpMM
- DRAM
- kubernetes
- cloud
- stl
- Compression
- 클라우드
- 딥러닝
- Today
- Total
Computing
반도체 기초 (5) Carriers의 특징 - 유효 질량, Scattering, Mobility 본문
반도체 기초 (5) Carriers의 특징 - 유효 질량, Scattering, Mobility
jhson989 2022. 6. 7. 21:39이 자료는 KMOOC 신창환 교수님의 강의 [반도 채 몰라도 들을 수 있는 반도체 소자 이야기]를 바탕으로 정리되었습니다.
이전글
2022.05.15 - [Semiconductor/개념] - 반도체 기초 (1) 실리콘 원소와 Charge Carrier
2022.05.19 - [Semiconductor/개념] - 반도체 기초 (2) 실리콘 재료와 에너지 밴드
2022.05.19 - [Semiconductor/개념] - 반도체 기초 (3) Extrinsic Semiconductor (도핑, P형 반도체, N형 반도체)
2022.05.27 - [Semiconductor/개념] - 반도체 기초 (4) Charge Carriers와 Fermi Energy의 관계
지금까지 반도체 내부에서 전하를 이동시키는 charge carriers가 어떻게 생성되는 지에 대하여 배웠다면, 이번 자료에서는 charge carriers (i.e. 자유전자, 정공) 가 어떤 특성을 가지고, 어떻게 행동하는 지에 대하여 정리하고자 한다.
반도체 내 Carriers의 움직임과 유효 질량
Charge carrieres (i.e. conduction electron, hole)은 반도체 내에서 끊임없이 운동하고 있다. 이러한 운동을 이르키는 주요한 4가지 원인은 다음과 같다.
- Thermal motion : 전자의 열 운동. 전자가 가지고 있는 평균 에너지
- Drift : 전기장에 의한 전하체의 운동
- Diffusion : 농도, 온도 차에 의한 확산
- Recombination - generation (R-G) : 자유 전자와 홀의 재결합
이러한 원인들에 의해 반도체 내의 carrier들은 끊임없이 운동하게 된다.
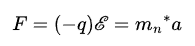
Fig 1.과 같은 전기장 속에 반도체가 놓여있는 상황을 나타낸 것이다. 전기장의 세기를 E, 전자의 전하량을 q라고 나타낼 때, 반도체 내 전자가 받는 힘은 Eq 1.로 설명가능하다.


전자의 전하량을 q라고 한다면, 전기장 E에서 전자가 받는 힘의 크기는 qE로 나타낼 수 있다. 전자가 이동하는 방향은 전류의 방향과 반대이므로 - 부호를 붙인다. 고전 역학에서 입자가 받는 힘은 입자의 질량과 가속도의 곱으로 나타낼 수 있다.
Eq 1.에는 전자의 실제 질량 m 대신 유효 질량 m*를 이용하고 운동을 표현하고 있다. 반도체 결정 내 전자는 전기장에 의한 힘 뿐만 아니라 결정 내 원자들에 의해 다양한 힘을 받고 있다. 따라서 그 힘들을 모두 계산할 수는 없기에[2] 유효 질량이라는 가상의 개념을 사용해서 전자의 운동을 표현한다. (우리가 바람을 맞서고 걸을 때는 몸이 무거워지는 것과 같이 느끼고, 바람을 등지고 걸을 때는 몸이 가벼워지는 것과 같이 느끼는 것과 동일) 실제로 전기장 속에서 반도체 결정 내 전자는 진공 중의 자유 전자의 불변 질량이 아닌 유효 질량을 가진 것처럼 운동한다고 한다.
Carrier Scattering : 열에 의한 전자의 움직임
전자는 열 운동 (thermal motion) 을 하는데, 이때의 열 속도 (thermal velocity) 의 크기는 Eq 2.와 같이 구할 수 있다. 열에 의한 전자 입자 하나의 평균 운동에너지 (average electron kinetic energy)[3] 와 고전 역학의 운동에너지 공식을 이용하여 구할 수 있다. k는 플랑크 상수, T는 온도, vth는 열속도, m*는 전자의 유효질량을 가리킨다.

반도체 내부에는 그 것을 구성하는 수 많은 전자와 원자 모두가 끊임없이 열 운동을 하고 있다. 결정 구조에 속박된 원자들은 끊임없이 진동한다. 이러한 진동하는 원자를 포논 (Phonon)[4] 이라고 한다. 그에 비해 속박되지 않은 자유전자는 랜덤한 방향으로 열운동을 한다. 다만 운동 과정에서 결정 내의 다양한 요소들과 상호작용하면서 전자들은 Fig 2.와 같이 흩뿌려지는데, 이러한 움직임을 carrier scattering이라고 한다.

Fig 2.는 반도체 결정 내에서 랜덤한 방향으로 운동을 시작한 전자의 운동 방향이 진동하는 원자(포논), 전자 혹은 이온화된 원자와의 충돌에 의해 계속적으로 변하는 것을 보여준다. 이러한 carrier scattering을 유발하는 주요 요인은 다음과 같다.
- Phonon scattering : 진동하는 실리콘 원자와의 충돌. 온도가 증가하면 증가함 (실리콘 원자가 더 크게 진동하기에)
- Ionized impurity atoms scattering : 도핑된 불순물 원자에 의한 전기적 인력 혹은 척력. 전자는 (-) 전하, 이온화된 불순물은 (+) 또는 (-) 전하를 가질 수 있음. 따라서 둘 사이에는 힘이 작용함. 불순물의 농도가 증가하면 증가함 (불순물 원자 수가 많아지기에). 온도가 증가하면 감소함 (전자가 빠르게 움직이기에)
- Carrier - carrier scattering : 캐리어끼리의 충돌
이때 반도체 내부의 전자의 움직임은 랜덤하기에 전자의 이동에 의해 발생하는 전류의 총합은 0이다.
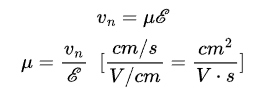
Carrier Mobility
Carrier mobility (이동도)는 반도체 결정 내 전자의 운동을 잘 설명하는 주요한 개념으로, 외부에서 가해진 전기장 E에 대한 전자의 표류 속도의 비로 정의[5]된다. 쉽게 말하면 전기장 내에서 carrier가 얼마나 빨리 움직이는 지를 나타내는 정도로, 전기장의 세기 E에 비례하여 반도체 내부의 자유 전자의 속도는 증가하는데 그때의 비례 상수가 mobility이다. 따라서 이동도의 단위는 (cm/s)/(V/cm)이다. 동일한 전기장 속에서 mobility가 높은 carrier는 더 빨리 움직이며, mobility가 낮은 carrier는 더 느리게 움직인다.

반도체 결정 내 자유전자는 scattering에 의해 운동을 방해 받는다. 따라서 scattering되는 정도에 따라 mobility가 결정된다. 앞서 얘기했듯 phonon scattering의 경우 온도가 증가하면 증가한다. 반대로 ionized impurity atoms scattering는 온도가 감소하면 증가한다. 대신에 불순물을 더 많이 첨가할수록(농도가 진해질수록) ionized impurity atoms scattering은 증가한다. 따라서 분술물 이를 식으로 나타내면 다음 Eq 4. 와 같다.

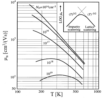
즉 온도가 증가할수록 phonon scattering에 의한 carriers의 이동성(mobility)는 감소하지만, ionized impurity atoms scattering에 의한 carriers의 이동성(mobility)은 증가한다. 이를 표로 나타내면 다음 Fig 3. 과 같다.

Fig 3. 에서 온도에 따른 mobility 함수는 하나의 극대값을 가지는 함수의 형태가 된다. 이때 도핑의 농도가 증가할수록 극대값을 가지는 온도가 증가함을 볼 수 있는데, 특히 donor의 농도가 10의 19일 경우 상온 300K 근처에서 극대값을 가진다. 이 경우가 중요한데, 이 근처의 농도를 가지는 반도체는 상온에서 온도에 따른 carrier의 이동도 변화가 적다. 실사용되는 반도체는 상온에서 온도 변화에 둔감한 것이 좋기에 이 수치를 중요하게 생각한다고 한다.
Reference
[1] 반도 채 몰라도 들을 수 있는 반도체 소자 이야기
[2] https://ko.wikipedia.org/wiki/%EC%9C%A0%ED%9A%A8%EC%A7%88%EB%9F%89
[3] http://www.ktword.co.kr/test/view/view.php?m_temp1=821
[4] https://ko.wikipedia.org/wiki/%ED%8F%AC%EB%85%BC
[5] https://ko.wikipedia.org/wiki/%EC%A0%84%EC%9E%90_%EC%9D%B4%EB%8F%99%EB%8F%84
'Semiconductor > 반도체개념' 카테고리의 다른 글
| [반도체 소자] 저항기, PN 접합 다이오드 기본 정리 (0) | 2022.06.23 |
|---|---|
| 반도체 기초 (6) 외부의 자극에 의한 Carriers의 운동 (Drift & Diffusion) (0) | 2022.06.10 |
| 반도체 기초 (4) Charge Carriers와 Fermi Energy의 관계 (0) | 2022.05.27 |
| 반도체 기초 (3) Extrinsic Semiconductor (도핑, P형 반도체, N형 반도체) (0) | 2022.05.19 |
| 반도체 기초 (2) 실리콘 재료와 에너지 밴드 & 전자의 분포 (Fermi Function) (0) | 2022.05.19 |