| 일 | 월 | 화 | 수 | 목 | 금 | 토 |
|---|---|---|---|---|---|---|
| 1 | 2 | |||||
| 3 | 4 | 5 | 6 | 7 | 8 | 9 |
| 10 | 11 | 12 | 13 | 14 | 15 | 16 |
| 17 | 18 | 19 | 20 | 21 | 22 | 23 |
| 24 | 25 | 26 | 27 | 28 | 29 | 30 |
| 31 |
- 딥러닝
- jhVM
- 양자역학의공준
- SpMM
- 반도체
- kubernetes
- 클라우드
- GPU
- deep_learning
- POD
- nvidia
- cloud
- quantum_computing
- jhDNN
- Semiconductor
- dnn
- 반도체기초
- 쿠버네티스
- DRAM
- stl
- Qubit
- HA
- Compression
- sycl
- C++
- CUDA
- convolution
- flash_memory
- FPGA
- CuDNN
- Today
- Total
Computing
[반도체 소자] 저항기, PN 접합 다이오드 기본 정리 본문
순수 반도체에 불순물 원자를 첨가(도핑)하여 불순물 반도체 (P형, N형)을 만들 수 있다. 불순물이 첨가된 불순물 반도체는 순수 반도체에 비해 일반적으로 전하를 옮기는 carriers(conduction electron과 hole)을 많이 포함하고 있어, 순수 반도체와는 다른 전기적 특성을 보인다. 이번 포스터에서는 도핑을 통해 전기적 특성을 조절할 수 있는 불순물 반도체를 활용한 소자에 대하여 간단히 정성적으로 정리하고자 한다.
저항기 : N형 반도체와 P형 반도체
불순물 반도체의 경우, 도핑 농도를 조절하여 물질의 저항률(비저항, resistivity)을 조절(이전강의)할 수 있다. N형 반도체의 경우 donor 원소를 도핑하여, 도핑된 donor 원자 1개당 1개의 자유 전자를 가지게 된다. 이렇게 전하를 옮길 수 있는 carriers의 농도가 커지게 되면 전도도(conductivity)가 증가, 비저항이 감소한다. 이러한 원리를 통해, 엔지니어들은 원하는 비저항을 가지는 물질을 생산할 수 있다.
N형, P형 반도체와 같은 불순물 반도체를 이용하여 저항기(Resistor)를 만들 수 있다.

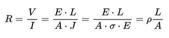
Fig 1.은 불순물 반도체가 저항기로 사용되는 예시를 나타낸 것이다. 반도체의 길이 L, 넓이 A, 반도체의 비저항 ρ라 할 때, 반도체로 만들어진 저항기의 저항 R은 다음 Eq 1.과 같다. (E는 전기장, J는 전기밀도, σ는 전도도)

Eq 1.에 따르면 저항기의 저항은 저항기를 구성하는 불순물 반도체의 비저항과 저항기의 크기(길이와 넓이)에 따라 결정된다. 따라서 엔지니어는 저항기의 크기 혹은 저항기를 구성하는 불순물 반도체의 농도를 조절하여 저항기의 저항을 결정할 수 있다. (비저항은 불순물 반도체의 농도뿐만 아니라 온도의 영향을 받기는 한다.)
다이오드 : P-N 접합
다이오드(Diode)는 정류기라고도 하며, 전류가 한 방향으로만 흐르도록하는 소자이다. Fig 2.와 같이, P형 반도체와 N형 반도체를 접합(junction)하여 다이오드를 만들 수 있다. 이때 전류는 P형 반도체에서 N형 반도체로만 흐를 수 있는데, P형 반도체에 (+)극을 연결, N형 반도체에 (-)극을 연결하는 것을 정방향이라고 하고, 반대의 경우를 역방향이라고 한다.

P형 반도체와 N형 반도체를 접합할 시 발생하는 내부 carriers의 변화는 Fig 3.과 같다.

P형 반도체는 acceptor 원자로 도핑되어 추가적인 정공이 생기며, N형 반도체는 donor 원자로 도핑되어 추가적인 자유 전자가 생긴다. 주의할 점은 P형과 N형 반도체 모두 접합 즉시에는 전기적으로 중성이다. N형의 경우 자유 전자의 개수와 +이온인 donor의 개수가 같다. P형도 마찬가지이다.
하지만 P형과 N형이 접합할 시, 자유 전자와 정공의 농도 차이에 의한 확산이 발생한다. P형 반도체 내의 정공은 N형으로, N형 반도체의 자유 전자는 P형으로 확산한다. 접합면에 인접한 P형 반도체 영역의 정공들은 N형 반도체로 넘어가고, 이 영역에는 (-)전하를 가지는 acceptor 이온들만이 남게 된다. 마찬가지로 접합면에 인접한 N형 반도체 영역의 자유전자는 P형 반도체로 넘어가고, 이 영역에는 (+)전하를 가지는 donor 이온들만이 남게 된다.
따라서 접합면에 인접한 P형 반도체 영역은 (-) 전하를 띄게 되고, N형 반도체 영역은 (+) 전하를 띄게 된다. 이 영역을 공핍층(depletion region) 혹은 공간전하영역(space charge region)이라고 한다. P형 반도체에 (-) 공간전하영역이 생기면 더 이상 N형 반도체의 전자는 P형 반도체로 넘어오지 못한다. N형 반도체도 마찬가지이다. 최종적으로 어느정도 넓이를 가지는 공핍층이 형성된 채 carrier들의 확산은 멈추고 열평형 상태가 된다.
Energy Band Diagram 관점에서의 다이오드

Fig 4.는 P형 반도체와 N형 반도체의 에너지밴드 다이어그램을 나타낸 것이다. P형의 경우, 정공이 추가되어 전자가 있을 확률이 50%인 fermi energy level이 valence level에 가까이 붙어있게 형성된다. N형의 경우에는 반대로 자유전가가 추가되어 fermi energy level이 conduction level에 가까이 붙어있게 형성된다.
앞서 설명했듯, P형 반도체와 N형 반도체를 접합하면 어느 순간 열평형 상태가 된다. 즉 내부적으로 끊임없이 운동하겠지만 전체적으로 내부에 흐르는 전류가 0이 된다. 즉 P형 반도체와 N형 반도체 모두 같은 fermi level을 가지게 된다. (PN 접합 어디든 자유전자가 있을 확률이 50퍼센트가 되어, 밖에서 보기에는 더 이상 움직이지 않는 것처럼 느껴진다.) 열평형 상태에 있는 P-N 접합의 에너지밴드 다이어그램은 Fig 5.와 같다.

PN 접합 시 접합면에는 전위차가 생기는데, 이것은 Fig 5.에서 접촉전위로 표현된다. 자유 전자의 경우 에너지가 높은 준위에서 낮은 준위로 이동하려는 경향이 있기에 낮은 에너지 준위인 N형 반도체의 전도대에 위치한다. 반대로 정공은 에너지가 낮은 준위에서 높은 준위로 이동하려는 경향이 있기에 높은 에너지 준위를 가지는 P형 반도체의 valance band에 위치하게 된다. 접촉 전위는 N형 반도체에 위치한 자유 전자의 P형 반도체로의 확산을 방해한다.
Reference
[1] 엄우용, 이선우, 이공계 학생을 위한 핵심 반도체 개론, K-MOOC
[2] https://m.blog.naver.com/PostView.naver?isHttpsRedirect=true&blogId=tjqjawls5957&logNo=221248123187
'Semiconductor > 반도체개념' 카테고리의 다른 글
| [반도체 소자] 트랜지스터 기본 정리 (바이폴라 트랜지스터, MOSFET) (0) | 2022.06.29 |
|---|---|
| [반도체 소자] 커패시터 Capacitor 기본 정리 (0) | 2022.06.27 |
| 반도체 기초 (6) 외부의 자극에 의한 Carriers의 운동 (Drift & Diffusion) (0) | 2022.06.10 |
| 반도체 기초 (5) Carriers의 특징 - 유효 질량, Scattering, Mobility (0) | 2022.06.07 |
| 반도체 기초 (4) Charge Carriers와 Fermi Energy의 관계 (0) | 2022.05.27 |