| 일 | 월 | 화 | 수 | 목 | 금 | 토 |
|---|---|---|---|---|---|---|
| 1 | 2 | 3 | 4 | |||
| 5 | 6 | 7 | 8 | 9 | 10 | 11 |
| 12 | 13 | 14 | 15 | 16 | 17 | 18 |
| 19 | 20 | 21 | 22 | 23 | 24 | 25 |
| 26 | 27 | 28 | 29 | 30 |
- DRAM
- 쿠버네티스
- flash_memory
- GPU
- HA
- quantum_computing
- jhVM
- 반도체
- 클라우드
- cloud
- FPGA
- stl
- convolution
- Qubit
- 반도체기초
- Semiconductor
- deep_learning
- CUDA
- sycl
- CuDNN
- dnn
- 양자역학의공준
- C++
- POD
- SpMM
- Compression
- kubernetes
- nvidia
- 딥러닝
- jhDNN
- Today
- Total
Computing
반도체 기초 (6) 외부의 자극에 의한 Carriers의 운동 (Drift & Diffusion) 본문
반도체 기초 (6) 외부의 자극에 의한 Carriers의 운동 (Drift & Diffusion)
jhson989 2022. 6. 10. 21:27이 자료는 KMOOC 신창환 교수님의 강의 [반도 채 몰라도 들을 수 있는 반도체 소자 이야기]를 바탕으로 정리되었습니다.
이전글
2022.05.15 - [Semiconductor/개념] - 반도체 기초 (1) 실리콘 원소와 Charge Carrier
2022.05.19 - [Semiconductor/개념] - 반도체 기초 (2) 실리콘 재료와 에너지 밴드
2022.05.19 - [Semiconductor/개념] - 반도체 기초 (3) Extrinsic Semiconductor (도핑, P형 반도체, N형 반도체)
2022.05.27 - [Semiconductor/개념] - 반도체 기초 (4) Charge Carriers와 Fermi Energy의 관계
2022.06.07 - [Semiconductor/개념] - 반도체 기초 (5) Carriers의 특징 - 유효 질량, Scattering, Mobility
앞선 포스터 [반도체 기초 (6)]에서 반도체 내에서의 Carriers의 움직임에 대해서 정리하였다. 이번 자료에서는 외부의 자극(전기장 인가, 도핑에 의한 carriers의 농도 변화)에 의한 carriers의 운동에 대하여 정리하고자 한다.
전기장에 의한 Carriers의 운동 : Drift

Fig 1. 은 반도체가 전기장 E 속에 놓인 예시이다. Fig 1.에서 보면, hole은 전기장의 방향에 따라 (1)에서 (2) 방향으로 이동한다. 마찬가지로 자유전자는 전기장의 반대 방향인 (2) -> (1) 방향으로 이동한다. 이러한 carriers의 이동에 의해 반도체 내부에는 전류가 흐르게 된다.
이때 carriers의 속도는 전기장의 세기에 선형비례하는데, 그때의 비례 상수는 carreirs의 mobility이다[2]. 전기장에 의한 carriers의 운동의 에너지 밴드 다이어그램 관점에서 봐보자. 다음 Fig 2. 와 같이 N-type 반도체에 전기장 E가 인가되었다고 하자.

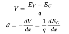
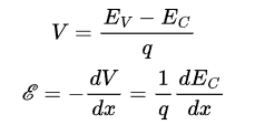
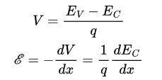
자유 전자의 potential energy U는 Eq 1. 과 같이 표현 가능하다. 전위의 정의에 따라 자유 전자의 potential energy U=qV[3]이며, 반도체 내 자유 전자의 potential energy는 band gap energy이다.

이때 반도체 내부의 전기장의 세기는 Eq 2.와 같이 구할 수 있다.

Eq 2. 에서 보면 반도체 내부의 전기장의 세기는 Ec의 기울기에 비례한다. 우리가 지금까지 봐왔던 에너지 다이어그램에서의 Ec는 기울기가 0인 수평선이었다. 하지만 전기장이 인가된 반도체 내부에서 Ec는 기울기가 있다는 것이다. 즉 전기장 속 반도체의 에너지밴드 다이어그램에서 Ec, Ev는 Fig 3. 과 같이 기울기의 크기가 qE인 직선의 형태로 나타난다.

Fig 3.에서 보듯 반도체 내부에는 전기장이 형성이 되며, 그 세기는 에너지밴드 다이어그램에서 각 Ec, Ev의 기울기로 표현된다. Fig 3. 의 자유 전자의 예시에서 보듯, 자유 전자는 더 낮은 에너지준위로 떨어지려고 하기에 전기장의 반대 방향으로 이동한다. 정공의 경우 더 높은 에너지준위로 올라가려고 하기에 전기장의 방향으로 이동할 것이다.
전기장에 의한 반도체 내부의 전류 밀도 J는 다음 Eq 3.와 같다.

반도체 내부의 drift 현상에 의해 발생하는 전류 밀도는 자유 전자에 의한 전류 밀도와 정공에 의한 전류 밀도의 합이다. 자유 전자의 전류 밀도는 단위 면적당 자유 전자의 개수 n, 자유 전자의 이동도 u에 비례한다. 마찬가지로 정공의 전류 밀도는 단위 면적당 정공의 개수 p, 정공의 이동도 u에 비례한다.
Carrier의 농도 차이에 의한 Carriers의 운동 : Diffusion

Fig 4.는 확산을 잘 나타낸다. 확산은 액체나 기체에 다른 물질이 섞이고, 그것이 조금씩 번져가다가 마지막에는 일률적인 농도로 바뀌는 현상[4]으로, 물질의 고농도의 영역에서 저농도의 영역으로 물질이 퍼져나간다.
반도체 내부에서도 마찬가지로 carriers의 확산이 발생한다. 반도체가 비균일하게 도핑이 될 경우 carriers의 농도차가 발생한다. 이러한 농도차에 의해 자유 전자의 농도가 높은 쪽에서 낮은 쪽으로 자유 전자는 이동한다. 마찬가지로 농도차에 의해 정공의 농도가 높은 쪽에서 낮은 쪽으로 정공은 이동한다.
Diffusion에 의하여 carriers의 이동하는데, 이에 따라 반도체 내부에는 전류가 흐른다. Diffusion에 의한 전류 밀도는 Eq 4. 와 같이 carriers의 농도에 비례한다.

Reference
[1] 반도 채 몰라도 들을 수 있는 반도체 소자 이야기
[2] 2022.06.07 - [Semiconductor/개념] - 반도체 기초 (5) Carriers의 특징 - 유효 질량, Scattering, Mobility
[3] https://ko.wikipedia.org/wiki/%EC%A0%84%EC%9C%84
[4] https://ko.wikipedia.org/wiki/%ED%99%95%EC%82%B0
'Semiconductor > 반도체개념' 카테고리의 다른 글
| [반도체 소자] 커패시터 Capacitor 기본 정리 (0) | 2022.06.27 |
|---|---|
| [반도체 소자] 저항기, PN 접합 다이오드 기본 정리 (0) | 2022.06.23 |
| 반도체 기초 (5) Carriers의 특징 - 유효 질량, Scattering, Mobility (0) | 2022.06.07 |
| 반도체 기초 (4) Charge Carriers와 Fermi Energy의 관계 (0) | 2022.05.27 |
| 반도체 기초 (3) Extrinsic Semiconductor (도핑, P형 반도체, N형 반도체) (0) | 2022.05.19 |