| 일 | 월 | 화 | 수 | 목 | 금 | 토 |
|---|---|---|---|---|---|---|
| 1 | 2 | 3 | 4 | |||
| 5 | 6 | 7 | 8 | 9 | 10 | 11 |
| 12 | 13 | 14 | 15 | 16 | 17 | 18 |
| 19 | 20 | 21 | 22 | 23 | 24 | 25 |
| 26 | 27 | 28 | 29 | 30 |
- convolution
- jhDNN
- CuDNN
- FPGA
- SpMM
- jhVM
- nvidia
- 반도체
- Qubit
- dnn
- 반도체기초
- deep_learning
- 쿠버네티스
- sycl
- Compression
- flash_memory
- Semiconductor
- quantum_computing
- stl
- POD
- 양자역학의공준
- HA
- C++
- 딥러닝
- kubernetes
- GPU
- cloud
- DRAM
- CUDA
- 클라우드
- Today
- Total
Computing
반도체 기초 (4) Charge Carriers와 Fermi Energy의 관계 본문
이 자료는 KMOOC 신창환 교수님의 강의 [반도 채 몰라도 들을 수 있는 반도체 소자 이야기]를 바탕으로 정리되었습니다.
이전글
2022.05.15 - [Semiconductor/개념] - 반도체 기초 (1) 실리콘 원소와 Charge Carrier
2022.05.19 - [Semiconductor/개념] - 반도체 기초 (2) 실리콘 재료와 에너지 밴드
2022.05.19 - [Semiconductor/개념] - 반도체 기초 (3) Extrinsic Semiconductor (도핑, P형 반도체, N형 반도체)
자유전자의 개수
이전강의 에서 intrinsic semiconductor에서의 자유전자와 정공의 개수에 대하여 구하였다.
Semiconductor에서 자유전자의 개수는 Eq 1.과 같이 conduction band 내 전자의 개수로 구할 수 있다.

Eq 1.을 볼츠만 approximation으로 근사하면 Eq 2.와 같이 자유 전자의 개수를 구할 수 있다.

Eq 2.에 따르면 자유 전자의 개수 n은 페르미 레벨 Ef에 따라 달라진다. Ef가 커질수록 자유 전자의 개수가 증가한다.

Fig 1.은 n-type 반도체의 자유전자와 정공의 분포를 나타낸다. n-type 반도체는 Ef가 Ec 가까이 위치함을 볼 수 있다. Fig 1.의 가장 오른쪽 그래프에서 보듯이 자유 전자의 개수가 정공의 개수보다 많음을 알 수 있다.
정공의 개수
Semiconductor에서 정공의 개수는 Eq 3.과 같이 valence band 내 정공의 개수로 구할 수 있다.

Eq 3.을 볼츠만 approximation으로 근사하면 Eq 4.와 같이 정공의 개수를 구할 수 있다.

Eq 4.에 따르면 정공의 개수 p는 페르미 레벨 Ef에 따라 달라진다. Ef가 작아질수록 정공의 개수가 증가한다.

Fig 2.은 p-type 반도체의 자유전자와 정공의 분포를 나타낸다. p-type 반도체는 Ef가 Ev 가까이 위치함을 볼 수 있다. Fig 2.의 가장 오른쪽 그래프에서 보듯이 정공의 개수가 자유 전자의 개수보다 많음을 알 수 있다.
Intrinsic Fermi Level
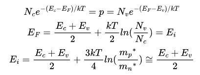
이전강의 에서 intrinsic semiconduction의 경우 자유 전자의 개수와 정공의 개수가 같음을 배웠다. 이를 이용해 intrinsic semiconductor의 fermi level을 구할 수 있다. Eq 5.는 n=p라는 사실을 통해 Ef를 구하는 과정을 나타낸 것이다.

Eq 5. 세번 째줄에서 mp*(정공의 질량)와 mn(자유전자의 질량)이 거의 비슷한 값이라는 것을 가정할 경우, 진성 반도체의 fermi level은 conduction level과 valence level의 정 가운데 위치함을 알 수 있다.
Extrinsic Semiconductor Fermi Level
진성 반도체에 다른 원소를 도핑한 extrinsic semiconductor의 경우 fermi level이 변한다. n-type extrinsic semiconductor의 경우 fermi level이 conductin band 가까이로 증가한다. 그에 따라 자유 전자의 개수가 증가한다. p-type extrinsic semiconductor의 경우 fermi level이 valence band 가까이로 감소한다. 그에 따라 정공의 개수가 증가한다.
자유 전자의 개수와 정공의 개수를 fermi level에 따라 나타내면 Eq 6.과 같다.

Eq 6.를 통해 자유 전자(정공)의 개수를 통해 해당 반도체의 fermi level을 구할 수 있다.
Reference
[1] https://m.blog.naver.com/PostView.naver?isHttpsRedirect=true&blogId=ang0095&logNo=220656533733
'Semiconductor > 반도체개념' 카테고리의 다른 글
| 반도체 기초 (6) 외부의 자극에 의한 Carriers의 운동 (Drift & Diffusion) (0) | 2022.06.10 |
|---|---|
| 반도체 기초 (5) Carriers의 특징 - 유효 질량, Scattering, Mobility (0) | 2022.06.07 |
| 반도체 기초 (3) Extrinsic Semiconductor (도핑, P형 반도체, N형 반도체) (0) | 2022.05.19 |
| 반도체 기초 (2) 실리콘 재료와 에너지 밴드 & 전자의 분포 (Fermi Function) (0) | 2022.05.19 |
| 반도체 기초 (1) 실리콘 원소와 Charge Carrier (0) | 2022.05.15 |