| 일 | 월 | 화 | 수 | 목 | 금 | 토 |
|---|---|---|---|---|---|---|
| 1 | 2 | 3 | ||||
| 4 | 5 | 6 | 7 | 8 | 9 | 10 |
| 11 | 12 | 13 | 14 | 15 | 16 | 17 |
| 18 | 19 | 20 | 21 | 22 | 23 | 24 |
| 25 | 26 | 27 | 28 | 29 | 30 | 31 |
- sycl
- GPU
- deep_learning
- dnn
- HA
- jhVM
- POD
- C++
- 클라우드
- 쿠버네티스
- kubernetes
- CUDA
- nvidia
- convolution
- 양자역학의공준
- Qubit
- FPGA
- cloud
- 반도체기초
- quantum_computing
- CuDNN
- DRAM
- jhDNN
- SpMM
- 딥러닝
- flash_memory
- 반도체
- Compression
- stl
- Semiconductor
- Today
- Total
Computing
양자컴퓨팅 - 4 : Quantum Entanglement (양자 얽힘, 슈뢰딩거의 고양이) 본문
양자컴퓨팅 - 4 : Quantum Entanglement (양자 얽힘, 슈뢰딩거의 고양이)
jhson989 2022. 5. 2. 21:202022.04.25 - [가속기 Accelerator/Quantum Computing] - 양자컴퓨팅 - 3 : Quantum Circuit & No Cloning Theorem
이 자료는 김태현 교수님의 양자 컴퓨팅 및 정보의 기초 강의를 바탕으로 정리하였습니다.
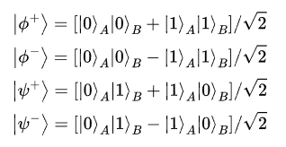
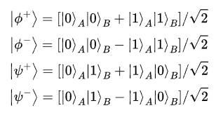
Bell Basis
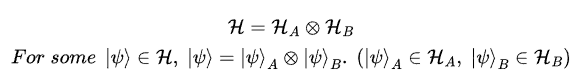
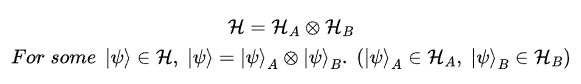
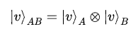
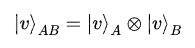
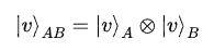
두 개의 qubits A, B가 있을 때, A, B의 상태를 동시에 나타내는 벡터 |v⟩는 A, B의 hilbert 공간의 텐서곱에 포함된다[1].
이때 A, B의 hilbert 공간의 텐서곱 또한 hilbert 공간이다. 이를 식으로 나타내면 다음과 같다.

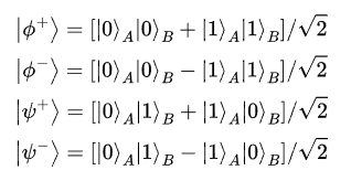
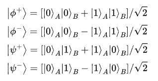
이때 새로운 hilbert 공간 H의 basis는 다음과 같은 벡터 4개로 표현될 수 있다.

간단하게 |00⟩, |01⟩, |10⟩, |11⟩로도 표현할 수 있다. 뿐만 아니라 Eq 3의 다음 4개의 vectors 또한 H의 basis가 될 수 있다. 이 basis를 bell basis라고 부른다.

두 qubits의 상태를 bell basis 기반으로 나타내면 다음 Eq 4.와 같다.

Quantum Entanglement
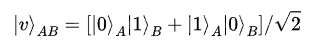
두 qubits의 상태가 다음 Eq 5.과 같이 표현될 때, 두 qubits의 상태는 분리가능한 상태(separable state)라고 한다[1]. 즉 두 부분계의 텐서곱으로 전체계의 상태가 표현될 때, 해당 상태는 분리가능한 상태이다.

이와 반대로, 두 부분계의 텐서곱으로 전체계의 상태를 표현할 수 없을 때, 해당 상태는 얽힌 상태(entangled state)라고 한다. 예를 들어 bell basis의 각 basis vector는 entangled state이다.

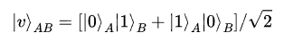
얽힌 상태로 나타나는 두 개의 qubits A, B는 이후 독립적으로 행동하지 못한다. 위 Eq 6.에서 |v⟩는 관측 시 |01⟩ 또는 |10⟩의 상태로 collapse된다. 즉 |v⟩는 |01⟩ 또는 |10⟩의 상태로만 관측될 수 있다. 따라서 qubit A가 |0⟩로 관측된다면 qubit B는 |1⟩의 상태가 된다. 반대로 qubit A가 |1⟩로 관측된다면 qubit B는 |0⟩의 상태만이 가능하다. 얽힌 상태의 두 qubits은 서로 종속적이며, 상대가 한 상태로 collapse될 경우 자신 또한 하나의 상태로 collapse된다.
슈뢰딩거의 고양이 예제

양자 얽힘을 가장 쉽게 설명한는 예제는 슈뢰딩거의 고양이 일 것이다. 슈뢰딩거의 고양이 사고 실험은 다음과 같다[2].
고양이 한 마리와 청산가리가 든 유리병, 방사성물질 라듐, 방사능을 검출하는 가이거 계수기, 망치가 상자에 들어 있다. 상자는 외부 세계에 차단돼 있고, 밖에서 내부를 볼 수 없다. 라듐 핵이 붕괴하면 가이거계수기가 그걸 탐지한다. 그러면 망치가 유리병을 내려쳐 깨게 돼 청산가리가 유출된다. 청산가리를 마신 고양이는 죽게 된다. 라듐이 붕괴할 확률은 1시간 뒤 50퍼센트다. 1시간 뒤 고양이는 죽었을까 살았을까?
상자 안과 밖이 완전히 상호작용하지 않는다고 할 때, 고양이와 라듐 원자의 상태는 "붕괴한 핵과 죽은 고양이" 혹은 "붕괴하지 않은 핵과 죽지 않은 고양이"의 두 가지 상태만을 가질 수 있다. 즉 고양이와 원자의 상태는 다음 Eq 7.과 같이 중첩되어 표현가능하다.

즉 상자를 열리 전(관측하기 전)까지는 고양이는 죽거나 죽지 않는 상태의 중첩으로 존재한다. 만약 원자가 excited 상태라는 것을 관측할 경우, 고양이는 살아있는 상태로 확정된다. 반대로 원자가 ground 상태라는 것을 관측할 경우, 고양이는 죽은 상태로 확정된다.
양자 정보 전송 Quantum Teleportation

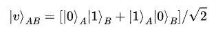
Fig 2.은 양자 정보 전송 예시를 나타낸 것이다. 인공위성 내에 두 양자 A, B가 있고 Eq 8.과 같은 얽힌 상태에 있다고 하자. 이를 각각 하나는 비엔나, 하나는 베이징으로 보낸다. 두 양자 A, B는 관측하기 전까지는 중첩 상태에 있을 것이다.

이때 비엔나에서 양자 A를 관측했다고 하자. 만약 양자 A의 상태가 |0⟩로 collapse된다면, 양자 B의 상태는 그 즉시 |1⟩로 collapse될 것이다. 이는 빛보다 빠른 정보의 전달(통신)이라고 생각할 수 있다. (A의 상태가 빛보다 빠르게(=즉시) B에게 전달되어 B의 상태가 그에 따라 결정된다.) 하지만 정보 이론에 따르면 이것은 정확한 의미의 통신이라고 할 수 없다고 한다. (이 부분은 공부 필요. 예를 들어 베이징에서 |1⟩을 관측한다고 해도, 이것이 비엔나에서 무조건 |0⟩을 관측했다는 것을 의미하지는 않기 때문이다. A를 관측하기 이전에도 B는 랜덤하게 |1⟩로 관측될 수 있다.)
Reference
[1] https://ko.wikipedia.org/wiki/양자_얽힘
[2] https://ko.wikipedia.org/wiki/슈뢰딩거의_고양이
[3] https://scitechdaily.com/the-quantum-teleportation-race-goes-into-space-in-2016/
'가속기 Accelerator > Quantum Computing' 카테고리의 다른 글
| 양자 알고리즘 (1) : Deutsch's Algorithm 도이치 알고리즘 (0) | 2022.05.17 |
|---|---|
| 양자컴퓨팅 - 5 : 양자 병렬성 및 양자 회로 특징 (Toffoli gate) (0) | 2022.05.06 |
| 양자컴퓨팅 - 3 : Quantum Circuit & No Cloning Theorem (0) | 2022.04.25 |
| 양자컴퓨팅 - 2 : Two Qubits Gate & Tensor Product (0) | 2022.04.06 |
| 양자컴퓨팅 - 1 : Qubit & Gate (0) | 2022.03.28 |