| 일 | 월 | 화 | 수 | 목 | 금 | 토 |
|---|---|---|---|---|---|---|
| 1 | 2 | 3 | 4 | |||
| 5 | 6 | 7 | 8 | 9 | 10 | 11 |
| 12 | 13 | 14 | 15 | 16 | 17 | 18 |
| 19 | 20 | 21 | 22 | 23 | 24 | 25 |
| 26 | 27 | 28 | 29 | 30 |
- FPGA
- jhVM
- Semiconductor
- CUDA
- C++
- stl
- nvidia
- 쿠버네티스
- dnn
- 클라우드
- convolution
- GPU
- Qubit
- quantum_computing
- 반도체
- sycl
- DRAM
- 반도체기초
- flash_memory
- deep_learning
- Compression
- 양자역학의공준
- jhDNN
- SpMM
- HA
- cloud
- CuDNN
- kubernetes
- POD
- 딥러닝
- Today
- Total
Computing
양자컴퓨팅 - 1 : Qubit & Gate 본문
이 자료는 김태현 교수님의 양자 컴퓨팅 및 정보의 기초 강의를 바탕으로 정리하였습니다.
Qubit
양자 정보를 담는 최소 단위로, 양자 컴퓨터로 계산할 때의 기본 단위[1]이다. 일반 컴퓨터에서 bit를 이용하여 정보를 표현하듯, 양자 컴퓨터에서는 qubit을 이용하여 정보를 표현한다.
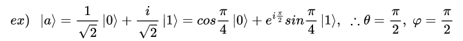
Bit는 0 혹은 1 둘 중 하나로만 표현될 수 있다. 하지만 양자역학의 공준 1에 따르면 양자의 상태는 a vector |ψ⟩로 표현 가능하며 시스템의 basis를 |0⟩, |1⟩이라 한다면, Eq 1로 나타낼 수 있다.

양자역학의 공준 3 코펜하겐 해석에 따르면 양자의 상태를 관측할 시, |0⟩상태 또는 |1⟩상태만을 관측할 수 있다. 이때 양자의 상태를 정확히 관측하는 것(즉, α, β를 구하는 것)은 쉽지 않다. 양자를 한 번 관측하면 |0⟩ 또는 |1⟩상태가 관측된다. 이때 코펜하겐 해석에 따르면 |0⟩상태가 관측될 확률은 α^2, |1⟩상태가 관측될 확률은 β^2에 비례한다. 따라서 N번 관측하면 α^2, β^2을 구할 수 있다. 하지만 |α|, |β|를 알 수 있지 정확한 부호(phase)까지는 알 수 없다.
Qubit은 Bloch sphere를 통해 시각적으로 표현 가능하다.

Fig 1을 보면, Bloch sphere 상에서 |0⟩, |1⟩ 벡터는 z축의 한 점으로 표현된다. 임의의 벡터 |ψ⟩는 구면 위의 한 점을 가리키는 벡터로 표현 가능하며, Eq 2.에서 보이듯 z축과의 각도 θ, x축과의 각도 φ로 표현할 수 있다.

다음은 |a⟩를 bloch sphere에 나타낸 예시이다.

따라서 |a⟩는 +y축과 구가 만나는 점으로 표현가능하다. 오일러 공식에 의해서 허수 i는 자연로그의 밑 e로 표현 가능하다[4].
Single Qubit Gate : X, Y, Z
일반 컴퓨터에서 정보 한 bit는 AND, OR, NOT 등의 gate에 의해서 변환된다. 마찬가지로 qubit 또한 qubit gate에 의해서 상태가 변환될 수 있다.
양자역학의 공준 2에 따르면 입자의 상태는 unitary operation에 의해 다른 상태로 진화할 수 있다. 이 unitary operation을 qubit의 정보를 조작하는 gate로 정의한다. Unitary operation은 벡터의 길이를 변화시키지 않는 회전변환이다. 따라 Bloch sphere 상에서 한 점 |ψ⟩는 gate에 의해 구면 상의 다른 점으로 회전변환 한다.
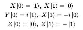
x축 기준 180도 회전변환을 X gate, y축 기준 180도 회전변환을 Y gate, z축 기준 180도 회전변환을 Z gate라 하면 Fig 2.와 같이 벡터 표현이 가능하다. 각각을 pauli X gate, pauli Y gate, pauli Z gate라고 한다.

Pauli X gate, pauli Y gate, pauli Z gate는 qubit |0⟩, |1⟩에 대하여 Fig 3.와 같이 작동한다.

Single Qubit Gate : Hadamard
Hadamard gate는 Fig 4.와 같이 x축과 z축 사이의 대각선을 기준으로 180도 회전변환을 나타낸다.

Hadamard gate는 Fig 5.와 같이 벡터 표현이 가능하다.

Hadamard gate는 qubit |0⟩, |1⟩에 대하여 Fig 3.과 같이 작동한다.

Reference
[1] https://en.wikipedia.org/wiki/Qubit
'가속기 Accelerator > Quantum Computing' 카테고리의 다른 글
| 양자컴퓨팅 - 3 : Quantum Circuit & No Cloning Theorem (0) | 2022.04.25 |
|---|---|
| 양자컴퓨팅 - 2 : Two Qubits Gate & Tensor Product (0) | 2022.04.06 |
| 양자역학의 공준 3 : 코펜하겐 해석 (0) | 2022.03.17 |
| 양자역학의 공준 2 : 입자 상태의 진화 (0) | 2022.03.13 |
| 양자역학의 공준 1 : 입자의 상태 (0) | 2022.03.09 |